문제
문제내용을 살펴보면, 정렬된 두 개의 연결 리스트의 노드를 결합하여 다음 그림과 같이 하나의 정렬된 연결 리스트로 병합하여야 한다. 본 내용은 leetcode에서 제공한 아래 그림을 토대로 작성하였기 때문에 그림 1(node2로 이동), 그림 5(node1로 이동)와 같이 값이 동일한 경우 포인터를 어디로 변경할 것인지 헷갈릴 수 있다. 결론만 말하자면, 두 개의 노드 값이 동일한 경우 node1, node2 중 아무거나 선택해도 무방하다.
풀이
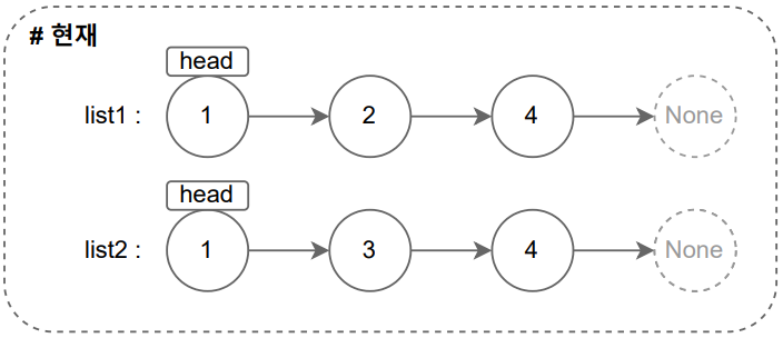
문제에서 주어진 예시(list1 = [1, 2, 4], list2 = [1, 3, 4])를 그림으로 나타내면 다음과 같다. 이 둘은 노드의 값을 기준으로 오름차순으로 정렬되어 있으며, 가장 왼쪽에 있는 노드가 각 연결 리스트의 head라고 할 수 있다.

그렇다면, 임시 노드를 생성하여 head로 정해놓고, 주어진 연결 리스트 2개의 노드 값을 비교한 결과에 따라 임시 노드 뒤에 연결시키면 되지 않을까라는 생각으로 문제에 접근하였다. 이를 그림과 설명으로 나타내보면 다음과 같다.
더미 노드 생성
새로운 연결 리스트의 head가 되어줄 Dummy 노드를 생성한다(이 리스트의 현재 노드의 포인터를 current라고 명명하였다).

반복하며 노드의 값 비교
입력받은 list1와 list2의 포인터를 각각 node1, node2로 하고, 값을 비교한다. 값이 동일하므로 current의 다음 포인터(current.next)를 node2의 위치로 변경하고, node2의 포인터는 자식 노드(node2.next)를 가리키도록 변경한다(이어서 node1과 node2의 값 비교 -> 결과 2번 그림).

node1에 위치한 노드의 값이 더 작으므로 current의 다음 포인터(current.next)를 node1의 위치로 변경하고, node1의 포인터는 자식 노드(node1.next)를 가리키도록 변경한다(이어서 node1과 node2의 값 비교 -> 결과 3번 그림).

node1에 위치한 노드의 값이 더 작으므로 current의 다음 포인터(current.next)를 node1의 위치로 변경하고, node1의 포인터는 자식 노드(node1.next)를 가리키도록 변경한다(이어서 node1과 node2의 값 비교 -> 결과 4번 그림).

node2에 위치한 노드의 값이 더 작으므로 current의 다음 포인터(current.next)를 node2의 위치로 변경하고, node2의 포인터는 자식 노드(node2.next)를 가리키도록 변경한다(이어서 node1과 node2의 값 비교 -> 결과 5번 그림).

node1과 node2에 위치한 노드의 값이 동일하므로 current의 다음 포인터(current.next)를 node1의 위치로 변경하고, node1의 포인터는 자식 노드(node2.next)를 가리키도록 변경한다(이어서 node1과 node2의 값 비교 -> node1에 위치한 노드가 존재하지 않으므로 반복 종료).

반복 종료 및 조건에 따른 마지막 노드 연결
node2에 위치한 노드만 존재하므로 current의 다음 포인터(current.next)를 node2의 위치로 변경하고, node2의 포인터는 자식 노드(node2.next)를 가리키도록 변경한다.

최종 결과 반환
새롭게 재구성된 연결 리스트에서 head는 제외힌 싱테러 반환하여야 하므로, head의 자식 노드(head.next)를 최종 결과로 반환한다.

전체 코드
from typing import Optional
# Definition for singly-linked list.
class ListNode:
def __init__(self, val=0, next=None):
self.val = val
self.next = next
# 제출 코드
class Solution:
def mergeTwoLists(self, node1: Optional[ListNode], node2: Optional[ListNode]) -> Optional[ListNode]:
head = current = ListNode(0)
while node1 and node2:
if node1.val < node2.val:
current.next = node1
node1 = node1.next
else:
current.next = node2
node2 = node2.next
current = current.next
if node1:
current.next = node1
elif node2:
current.next = node2
return head.next'Algorithm > LeetCode' 카테고리의 다른 글
| LeetCode #409 - Longest Palindrome(가장 긴 팰린드롬) 풀이 (0) | 2022.03.16 |
|---|---|
| LeetCode #622 - Design Circular Queue(원형 큐 디자인) 풀이 (0) | 2022.03.16 |
| LeetCode #232 - Implement Queue using Stacks(스택을 이용한 큐 구현) 풀이 (0) | 2022.03.16 |
| LeetCode #049 - Group Anagrams(그룹 애너그램) 문제 풀이 (0) | 2022.03.16 |
| LeetCode #206 - Reverse Linked List(역순 연결 리스트) 풀이 (0) | 2022.03.15 |